Daily-Quotes:

Learn as much as you can while you are young, since life becomes too busy later.

  • Call Us

    +91 99141 00902

  • Opening Hours

    08:00 Am – 02:00 Pm

  • Email Us

    ghpsphallewalkhurd645@gmail.com

logo
Contact Us

Mandatory Public Disclosure

Mandatory Disclosure Details-SARAS 4.0   :-  CLICK HERE

A: GENERAL INFORMATION

S.NO

INFORMATION

DETAILS

1.Name of the School

Guru Harkrishan Public School

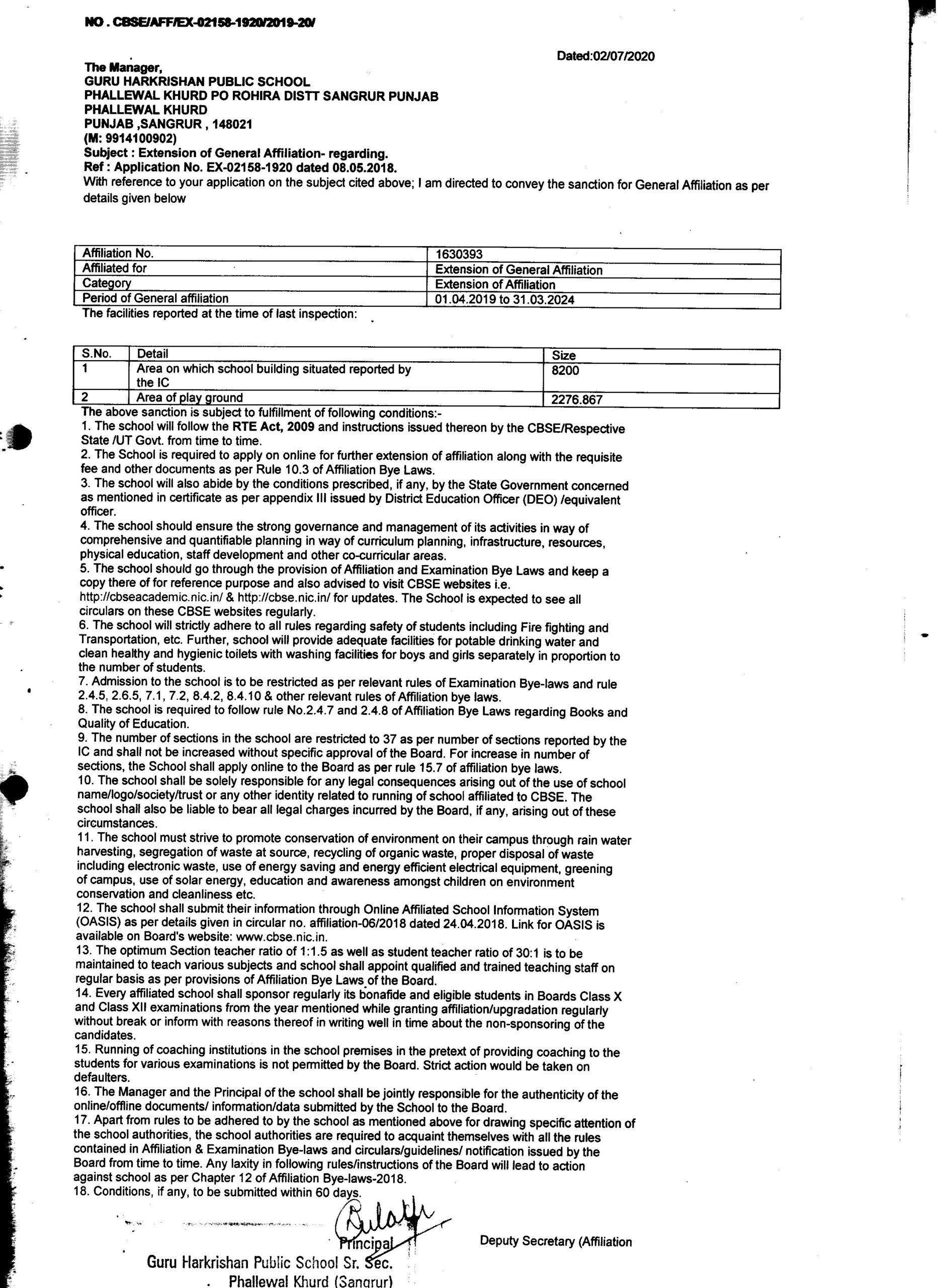
2.Affiliation No.

1630393

3.School Code

 20383

4.Complete Address with PIN Code

PHALLEWAL KHURD PO ROHIRA DISTT SANGRUR PUNJAB, SANGRUR , PUNJAB - 148021

5.Principal Name

Mrs. Daljeet Kaur

6.Qualification

M.A, B.ED

7.School Email ID

ighpsphallewalkhurd645@gmail.com

8.Contact Details

9914100902, 9216900402

B – DOCUMENTS AND INFORMATION

S.NOINFORMATION

DETAILS

1.Copies of Affiliation/ Upgradation Letter and recent Extension of affiliation if any

Click

2.Copies of Society/ Trust/ Company/ Registration/ Renewal Certificate, as applicable

Click

3.Copies of Society/ Trust Member's List

Click

4.Copies of NOC Issued, if applicable by the State Govt./ UT

Click

5.Copies of Recognition Certificate under RTE Act 2009, and its renewal if applicable

Click

6.Copies of valid building Safety certificate as per the National Building Code

Click

7.Copies of valid fire Safety certificate issued by the competent authority

Click

8.Copies of the DEO certificate submitted by the school affiliation/ upgradation/ extension of affiliation or self certification by school

Click

9.Copies of the valid water, health and sanitation certificate

Click

10.Copies of the Non-Proprietary Character Affidavit

Click

11.Copies of the  Transport-Safety-certificate

Click

12.

Click

13.Staff Statement 

Click

14.Copies of the Land-certificate

Click

C – RESULT AND ACADEMIC

S.NO

INFORMATION

DETAILS

1.Fee Structure of the School

  Click  

2.Annual Academic Calendar

Click

3.List of School Management Committee (SMC)

Click

4.List of Parents Teacher Association (PTA) Members

Click

5.List of Member Trust

Click

6.Last Three Year Result of the Board Examination as per Applicability

Click

RESULT CLASS X

S.NOYEARNO. OF REGISTERED STUDENTSNO. OF STUDENTS PASSEDPASS PERCENTAGEREMARKS
1.20236262100% 

RESULT CLASS XII

S.NOYEARNO. OF REGISTERED STUDENTSNO. OF STUDENTS PASSEDPASS PERCENTAGEREMARKS
1.2023826579% 

D – STAFF (TEACHING)

S.NO

INFORMATION

DETAILS

1.Principal

01

2.Total No. of Teachers

42

 
  • PGTs

10

 
  • TGTs

15

 
  • PRTs

16

 
  • NTTs

02

3.Teachers Section Ratio

40:

4.Details of Special Educator

KULBIR KAUR

5.Details of Counselor and Wellness Teacher

HARPREET KAUR

6.Details of Faculty

Click 

E – SCHOOL INFRASTRUCTURE

S.NO

INFORMATION

DETAILS

1.Total Campus Area of the School(In Sq. MTR)

8200

2.No. and Size of the Class Rooms (In Sq. MTR)

40 & 600

3.No. and Size of Laboratories including Computer Labs(In Sq. MTR)

6 & 600

4.Internet Facility

YES (Campus WI FI)

5.No.of Girls Toilets

9

6.No.of Boys Toilets

9

7.Link of the YouTube Video of the Inspection of the School Covering the Infrastructure of the School

 YOUTUBE LINK